三坐標測量機(CMM)是現代工業中用于精確尺寸測量和質量控制的高精密設備,它能夠在三個相互垂直的坐標軸上對物體進行精確定位和測量。PC-DMIS作為CMM專業的測量軟件,不僅 限于直線距離,還包括曲線、曲面等復雜形狀上的三維空間距離。

1、“三維距離”
三維距離為兩個質心點之間的空間距離;

在三維空間中,計算兩個質心點之間的距離可以使用歐幾里得距離公式。假設有兩個質心點 A(x1,y1,z1) 和 B(x2,y2,z2),它們之間的距離 d 可以通過以下公式計算:


如上圖的兩個球,其三維距離的圖示如下

距離=133.4166

2、“二維距離”
二維距離評價距離計算均為兩質心點之間的投影距離。

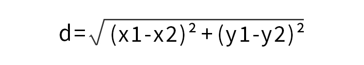
如果兩個質心點 A(x1,y1) 和 B(x2,y2),它們之間的歐幾里得距離 d 可以直接用以下公式計算:

其二維距離的圖示如下

距離=98.4886

3、“二維距離+按特征評價”
如果只從列表中選擇了兩個特征,則 PC-DMIS 將計算平行或者垂直于特征2的特征1和特征2之間的距離。

圓1到直線1的距離為垂直于直線1的距離

如果從列表中選擇了三個特征,則 PC-DMIS 將計算平行或者垂直于特征3的特征1和特征2之間的距離。

圓1和圓2的距離為平行于直線1的距離

4、“二維距離+按軸線”
按軸線評價可以計算兩個特征相對于坐標系軸向(X/Y/Z)的距離。

圓1和圓2的距離為平行于坐標系X軸的距離
PC-DMIS軟件測量精準可靠,且操作簡單易上手,幫助企業實現高效快捷的質量檢測和過程控制。隨著技術的不斷進步,PC-DMIS將持續演進,助力制造業向著更高層次的精密化和智能化發展。
返回頂部